В антиферромагнитном (АФМ) состоянии TbTi₃Bi₄ (T < Tₙ₁) методами высокоразрешающей ARPES, нейтронографии порошка (NPD), сканирующей туннельной микроскопии (STM) и расчётов DFT обнаружены двойные орбитально-селективные модуляции зонной структуры с волновыми векторами q₁ ≈ 1/3 a* и q₂ ≈ 0,28 b*. Реконструкция локализована преимущественно в плоскости k𝑧 = π и обусловлена вложением (nesting) квази-1D ферми-поверхности, сформированной орбиталями тербия 5dₓz. Импульсно-зависимое складывание зон приводит к открытию гибридизационных щелей и возникновению безщелевых дираковских конусов на границе зоны Бриллюэна, что указывает на реализацию магнитно-индуцированного топологического фазового перехода. Данные NPD подтверждают АФМ-происхождение модуляций, исключая зарядовое или структурное упорядочение.
Реконструкция зон ниже температуры АФМ-перехода
В АФМ-фазе (Tₙ₂ < T < Tₙ₁) основные кагоме-признаки электронной структуры — сингулярности ван Хова, плоские зоны, дираковские точки в точках K — сохраняются практически без изменений. Однако вдоль направления a* (параллельно цепочкам тербия) наблюдается выраженная реконструкция зон [Рис. 3(e),(f)], указывающая на возникновение импульсно-зависимого упорядочения.
![]() |
![]() |
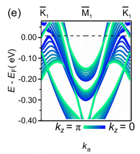
Для детального анализа мы сравнили высокоразрешающие спектры вдоль направлений Γ–M₁–K₁ [Рис. 4] и Γ–M₂–K₂. Наши наблюдения можно резюмировать следующим образом:
![]() |
![]() |
![]() |
![]() |
![]() |
![]() |
![]() |
![]() |
- Вдоль направления a*: Ниже Tₙ₁ отчётливо наблюдается появление нового дираковского пересечения конусного типа и дополнительных состояний [красные маркеры на Рис. 4(b)(ii), Peak 3 на Рис. 4(g)]. Одновременно в диапазоне энергий −0,1…−0,2 эВ фиксируется подавление спектрального веса, особенно отчётливое на кривизном графике [чёрный прямоугольник на Рис. 4(b)(i)].
- Вдоль направлений, перпендикулярных цепочкам (b* и c*): Значимых изменений зонной структуры не обнаружено [Рис. 4(c),(d)], что подчёркивает сильную импульсную анизотропию реконструкции.
Экстракция дисперсий исходных зон (нормальное состояние, серые линии на Рис. 4) и возникающих дираковских зон (АФМ-состояние, красные маркеры) показывает, что последние могут быть отображены на исходные посредством вектора q₁ ≈ 0,36 Å⁻¹ (~1/3 a*, где a* = 2π/a) [Рис. 4(f)]. Это указывает на формирование волноподобного порядка с модуляцией q₁.
Вдали от дираковской точки складывание зон генерирует гибридизационные щели в точках пересечения, что объясняет подавление интенсивности в соответствующих энергетических диапазонах. Сравнение экспериментальных данных с k𝑧-проецированными расчётами DFT локализует реконструкцию преимущественно в плоскости k𝑧 = π, указывая на особую роль данной плоскости в процессе упорядочения.
Вторая модуляция: вектор q₂ вдоль направления b*
После подтверждения реконструкции вдоль a* возникает естественный вопрос: может ли аналогичный механизм nesting работать и в других направлениях? Примечательно, что в окрестности точки L₁ (проецируемой на M₁ в поверхностной ЗБ) существует ещё одна пара параллельных ферми-поверхностей, соединённых волновым вектором q₂ [Рис. 5(a),(b)].
![]() |
![]() |
![]() |
![]() |
Для проверки мы провели температурно-зависимые измерения вдоль направления Γ–M₁ [Рис. 6]. Сравнение спектров выше и ниже Tₙ₁ отчётливо выявляет модификации зон в окрестности M₁:
![]() ![]() ![]() |
- Ниже Tₙ₁ наблюдается складывание зон с вектором q₂ ≈ 0,28 b* (b* = 2π/b) [Рис. 6(b)(i),(ii)];
- Вектор q₂ непосредственно соединяет вложенные ферми-поверхности вблизи M₁;
- На кривизном графике фиксируется особенность загиба зон (back-bending) вблизи EF, отсутствующая в нормальном состоянии.
Для лучшей визуализации открытия щели мы разделили спектры на функцию Ферми-Дирака, свёрнутую с экспериментальным энергетическим разрешением [Рис. 6(a)(iii),(b)(iii)]. Щель величиной ~27 мэВ отчётливо разрешается исключительно на внутреннем кармане, центрированном в M₁, тогда как соседние зоны остаются в значительной степени незатронутыми. Это предоставляет убедительное доказательство существования упорядочения типа волны плотности вдоль b*.
Важно отметить, что величина щели вдоль a* (~77,6 мэВ) превышает щель вдоль b* примерно в 3 раза, демонстрируя сильную анизотропию параметра порядка, коррелирующую с магнитной анизотропией материала.
Орбитальная селективность: роль орбитали тербия 5dₓz
Многоорбитальный характер TbTi₃Bi₄ требует анализа орбитального состава реконструированных состояний. Хотя вблизи EF доминируют орбитали титана 3d, расчёты DFT показывают, что орбиталь тербия 5dₓz (где оси x и z совпадают с кристаллографическими осями a и c) тесно коррелирует с зонами, претерпевающими реконструкцию вблизи L₁ и A [Рис. 7].
![]() |
Ключевое наблюдение: вес орбитали 5dₓz сконцентрирован не равномерно по всей ферми-поверхности, а преимущественно на участках квази-1D кармана, параллельных направлению A–L₁ (Γ–M₁ в проекции). Это естественным образом объясняет анизотропию щели вдоль направлений a* и b* и подтверждает орбитально-селективный характер двойной модуляции.
Для экспериментальной верификации мы провели поляризационно-зависимые измерения ARPES на β-зоне вдоль направлений Γ–M₁ и Γ–M₂. Наблюдаемые вариации интенсивности согласуются с расчётным орбитальным составом и симметрийными правилами отбора для орбитали 5dₓz.
Магнитное происхождение модуляций и топологический переход
Совпадение температур начала магнитного перехода (Tₙ₁) и начала реконструкции зон, а также локализация изменений в специфических импульсных областях, указывают на магнитный, а не структурный характер модуляций. Для прямой проверки мы провели измерения нейтронографии порошка (NPD) выше и ниже Tₙ₁ [Рис. 8(a)].
![]() |
В АФМ-фазе на дифрактограммах появляются новые сверхструктурные рефлексы, которые успешно описываются моделью магнитного упорядочения с волновым вектором (q₁, q₂, 0), где q₁ ≈ 0,35 a* (~1/3 a*) и q₂ ≈ 0,28 b*. Данный волновой вектор согласуется с векторами nesting, полученными из измерений ARPES. Rietveld-анализ исключает волны зарядовой плотности (подтверждено данными STM) и указывает на АФМ-структуру с периодом ~3a вдоль оси a и несоизмеримой модуляцией вдоль b [Рис. 8(b)].
Особый интерес представляет возникновение безщелевых дираковских конусов на границе ЗБ в точках L₁/M₁. В пространственной группе Fmmm в данных точках вырождения не разрешены симметрией. Следовательно, наблюдаемые дираковские точки либо защищены магнитной симметрией АФМ-состояния, либо индуцированы инверсией объёмных зон. В любом сценарии это свидетельствует о реализации магнитно-индуцированного топологического фазового перехода, сопровождающего установление дальнодействующего антиферромагнитного порядка.
Заключение части
В АФМ-состоянии TbTi₃Bi₄ наблюдается орбитально-селективная двойная модуляция зонной структуры с векторами (~1/3, 0,28, 0), обусловленная nesting квази-1D ферми-поверхности и локализованная на орбиталях тербия 5dₓz в плоскости k𝑧 = π. Модуляции имеют магнитное происхождение, подтверждённое нейтронографией, и приводят к импульсно-зависимому складыванию зон и возникновению дираковских конусов, указывая на топологическую природу АФМ-фазы. Механизм формирования связанного с этим дробного плато намагниченности рассматривается в заключительной части.






















.png)