В данной работе исследована взаимосвязь кристаллической структуры, магнитного поведения и электронной структуры нового кагоме-металла TbTi₃Bi₄ в нормальном (парамагнитном) состоянии. Комбинация углово-разрешённой фотоэлектронной спектроскопии (ARPES), магнитотранспортных измерений и расчётов в рамках теории функционала плотности (DFT) показывает, что материал сочетает характерные для кагоме-решётки особенности — сингулярности ван Хова, плоские зоны и дираковские точки — с квази-одномерными участками ферми-поверхности, порождёнными интеркалированными зигзагообразными цепочками атомов тербия. Сильная магнитная анизотропия и антиферромагнитный переход при Tₙ₁ ≈ 20,4 К создают предпосылки для орбитально-селективной реконструкции зонной структуры, которая детально рассматривается в последующих частях.
Кристаллическая структура и магнитные свойства
TbTi₃Bi₄ кристаллизуется в орторомбической пространственной группе Fmmm (№ 69) с параметрами решётки a = 5,8332 Å, b = 10,2792 Å, c = 24,5883 Å [Рис. 1(a),(b)]. Структура повторяет мотивы семейства LnTi₃Bi₄: двойной слегка искажённый кагоме-слой титана разделён двойными слоями Tb-Bi. Ключевая особенность — атомы тербия в слоях Tb-Bi образуют высокоанизотропные квази-одномерные зигзагообразные цепочки, ориентированные вдоль оси a.
![]() |
![]() |
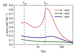
Удельное сопротивление ρₓₓ(T) демонстрирует металлическое поведение при низких температурах с выраженным изломом при Tₙ₁ ≈ 20,4 К [Рис. 1(c)], что соответствует началу антиферромагнитного (АФМ) упорядочения. Магнитная восприимчивость χ(T) подтверждает этот переход: при поле, направленном вдоль оси a, наблюдается острый пик при Tₙ₁, тогда как для направлений b и c переход выражен значительно слабее [Рис. 1(d)]. Это указывает на сильную магнитную анизотропию: моменты ионов Tb преимущественно ориентированы вдоль оси a — направления зигзагообразных цепочек.
![]() |
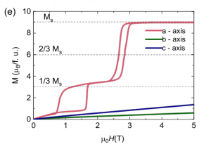
При Tₙ₂ ≈ 2,5 К в χ(T) фиксируется горбообразная аномалия, ассоциированная с метамагнитным переходом, что согласуется с данными других работ [16,17]. Кривые намагниченности M(H) [Рис. 1(e)] подтверждают, что ось a является «лёгкой» осью намагничивания. После метамагнитного перехода при ~1 Тл возникает плато намагниченности на уровне 1/3 от насыщения (Mₛ) в диапазоне полей 1–2,5 Тл. При полях выше ~3 Тл намагниченность насыщается, что соответствует вынужденному ферромагнитному состоянию. Для направлений H∥b, c плато и метамагнитные особенности отсутствуют.
![]() |
Измерения магнитосопротивления дополнительно подтверждают метамагнитные переходы, наблюдаемые в M(H), и совместно с M(T) формируют богатую магнитную фазовую диаграмму TbTi₃Bi₄.
Электронная структура в нормальном состоянии: расчёты DFT
Для понимания электронной подсистемы, опосредующей взаимодействие между проводимыми электронами и локализованными 4f-моментами тербия, мы провели расчёты в рамках теории функционала плотности (DFT). На Рис. 2 представлены рассчитанные зонные дисперсии в плоскостях k𝑧 = 0 и k𝑧 = π первой зоны Бриллюэна (ЗБ).
![]() |
![]() |
![]() |
Расчёты выявляют несколько характерных для кагоме-решётки особенностей:
- Сингулярности ван Хова (vHS) — точки в зонной структуре, где плотность состояний резко возрастает из-за экстремумов дисперсии;
- Плоские зоны (flat bands) — слабо диспергирующие по энергии состояния, связанные с геометрической фрустрацией кагоме-сетки;
- Дираковские точки, которые в идеальной кагоме-решётке располагаются в высокосимметричных точках K/H, но в TbTi₃Bi₄ смещены из-за нарушения вращательной симметрии интеркалированными слоями [20].
Неэквивалентность vHS в точках M₁/M₂ и L₁ отражает структурную анизотропию материала — черта, типичная для всего семейства LnTi₃Bi₄ [18,19].
Наличие двух близких плоских зон ниже уровня Ферми (EF) обусловлено удвоением кагоме-слоёв в элементарной ячейке [19].
Экспериментальная электронная структура: результаты ARPES
Для экспериментального определения электронной структуры и её связи с магнитным порядком мы провели систематические измерения методом углово-разрешённой фотоэлектронной спектроскопии (ARPES) с использованием вакуумного ультрафиолета (ВУФ) и мягкого рентгеновского излучения.
Согласованность данных, полученных при разных энергиях фотонов, демонстрирует, что наши спектры преимущественно отражают объёмные состояния [Рис. 3]. В частности, ферми-поверхность вдоль направления k𝑧 демонстрирует практически отсутствующую дисперсию [Рис. 3(b)], что интерпретируется как результат квази-2D характера зон вблизи EF и k𝑧-уширения [21].
![]() |
В проекции на плоскость kₓ–kᵧ [Рис. 3(a),(c),(d)] идентифицируются следующие особенности:
![]() |
![]() |
![]() |
- Карманы α и α′: два концентрических электроноподобных кармана вокруг точки Γ. Небольшое расщепление между ними, отсутствующее в расчётах DFT, атрибутируется поверхностному эффекту, обусловленному самодопированием незаряженной поверхности скола — явление, ранее наблюдавшееся в семействе AV₃Sb₅ [22].
- Дираковские точки в К: точечные ферми-карманы в углах ЗБ, сформированные дираковскими точками вблизи EF, которые отчётливо разрешаются на кривизных графиках.
- Карман γ: треугольный дырочный карман вблизи точки M.
- Карман δ: крупный карман, образованный ветвями зон от сингулярностей ван Хова.
В отличие от семейства AV₃Sb₅ [23–28], vHS в TbTi₃Bi₄ не эквивалентны из-за анизотропии решётки, что приводит к деформации ферми-поверхности [18,19,29,30] и нарушению идеального условия вложения (nesting). Это, вероятно, объясняет отсутствие упорядочения типа волны зарядовой плотности (CDW) в кагоме-слое [25].
Квази-одномерные ферми-поверхности от цепочек тербия
После идентификации типичных кагоме-признаков мы фокусируемся на особенностях, связанных с зигзагообразными цепочками тербия. На карте ферми-поверхности во второй ЗБ [Рис. 3(a)] отчётливо видна квази-1D линия, перпендикулярная направлению цепочек (т.е. параллельная a*). Детальный анализ показывает, что эта линия образована двумя квази-1D ферми-поверхностями β и β′, обозначенными красной и белой маркировкой на Рис. 3(a) соответственно.
![]() |
Данные зоны обладают электроноподобной дисперсией вдоль направления цепочек [Рис. 3(c),(d)] и непосредственно связаны с электронной подсистемой интеркалированных атомов тербия. Их присутствие, подтверждённое также расчётами DFT (Приложение B), является ключевой особенностью 1D цепочек и создаёт условия для сильной анизотропии электронного отклика. Именно эти квази-1D карманы, как мы покажем далее, играют центральную роль в возникновении орбитально-селективных модуляций в магнитном состоянии.
![]() |
![]() |
Заключение части
Нормальное состояние TbTi₃Bi₄ характеризуется сосуществованием кагоме-индуцированных особенностей электронной структуры (vHS, дираковские точки, плоские зоны) и квази-1D ферми-поверхностей, порождённых зигзагообразными цепочками тербия. Сильная магнитная анизотропия и АФМ-переход при Tₙ₁ ≈ 20,4 К создают условия для импульсно-зависимой реконструкции зонной структуры, которая детально рассматривается во второй части.














.png)