Китай
Комплекс измерений физических и магнитных свойств в вертикальном поле до 5 Тл
Комплекс измерений физических и магнитных свойств материалов PPMS-5T – это автоматизированная система для проведения прецизионных экспериментов в области физики конденсированного состояния. Данная установка позволяет исследовать широкий спектр физических свойств твердых материалов, таких как магнитная восприимчивость, электрическое сопротивление, эффект Холла и теплоемкость, в экстремальных условиях — при сверхнизких температурах вплоть до 1.6 Кельвина и в присутствии сильных магнитных полей до 5 Тесла.
Принцип работы охладителя автоматизированного комплекса измерения физических и магнитных свойств материалов PPMS-5T основан на базе эффекта Джоуля-Томсона. Криорефрижератор установки работает по циклу Гиффорда-МакМагона, обеспечивающй охлаждение и поддержание образца в температурном диапазоне от 1.6 до 300 К. Ключевой особенностью системы является ее полная автономность и отсутствие необходимости использования жидких криогенных агентов, таких как гелий. Криосистема комплекса исследования магнитных свойств PPMS-5T построена на базе импульсной трубки, позволяющей достигать сверхнизких температур при мощности трубки всего в несколько ватт. Отличительной чертой cухой сверхпроводящей криогенной измерительной магнитной системы PPMS-5T является увеличенная камера для образцов диаметром 50 мм, предоставляющая больше пространства для установки сложных измерительных зондов и образцов.

Базовая температура (Base Tempetarute) каждого ключевого компонента показывает минимальную нормальную рабочую температуру системы Базовая температура для пробоотборника системы составляет 1.6 К, для магнита – 4К.
![]() |
![]() |
|
Базовая температура компонентов PPMS-5T |
Время охлаждения компонентов PPMS-5T |
Температурная стабильность прибора соответствует колебаниям температуры образца, не превышающим 10 мК, во всем диапазоне нагрузок магнитного поля (5 Тесла) и достигается за счет использования криоконтроллеров собственной разработки, а также специального теплозащитного экрана.
![]() |
|
Температурная стабильность зонда при температуре 300 К при непрерывном изменении магнитного поля |
Переход сухой магнитной системы PPMS-5T от комнатной температуры к рабочей занимает менее 150 минут. Высокоточные криоконтроллеры системы являются собственной разработкой компании и обеспечивают точность термостабилизации ±10 мК во всем температурном диапазоне.

Время охлаждения PPMS-5T с магнитным полем 5 Тл
Магнитная система комплекса PPMS-5T выполнена на базе компактного раздельного магнита и генерирует высокостабильное магнитное поле до ±5 Тл в вертикальном направлении. Компактный и надежный сверхпроводящий магнит выполнен в виде проводника с обмоткой проводами из NbTi, создающего магнитное поле в горизонтальном или вертикальном направлении (в зависимости от направленности обмотки). Он хорошо работает в диапазоне температур жидкого гелия (~ 4,2 К). Для охлаждения магнита до рабочей температуры используется криохладитель. Дополнительный расход жидкого гелия для поддержания температуры магнита не требуется.

Сверхпроводниковый магнит PPMS-5T
Благодаря использованию биполярного источника питания собственной разработки, магнитное поле системы не только очень стабильно при поддержании фиксированного значения, но и очень плавно при пересечении нулевой точки – < 50 ppm при 5 Тл. Для управления магнитом используется биполярный источник питания, который обеспечивает скорость изменения магнитного поля свыше 125 Э/с и стабильность поддержания поля лучше 50 ppm.
![]() |
![]() |
|
Стабильность поля (лучше 50 ppm) при 2К |
Стабильность поля (лучше 50 ppm) при 300К |
Скорость развертки магнитного поля системы PPMS-5T составляет более 125 Э/с. Высокоэффективный сверхпроводящий магнит системы является краеугольным камнем его передовой технологии, обеспечивая эффективность, стабильность и надежность. Система охлаждения оптимизирована для достижения более высокой скорости очистки поля, что обеспечивает более быструю готовность к работе и повышает общую производительность.
![]() |
![]() |
|
Скорость изменения поля (лучше 125 Э/с) при 2К |
Скорость изменения поля (лучше 125 Э/с) при 300К |
![]() |
![]() |
|
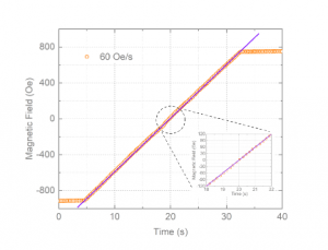
Величина магнитного поля при пересечении нуля с медленной скоростью (10 Э/с ) |
Величина магнитного поля при пересечении нуля с быстрой скоростью (60 Э/с) |
ПО установки PPMS-5T позволяет производить автоматизированный сбор и хранение данных. ПО позволяет отображать данные и управлять прибором в режиме реального времени. ПО позволяет управлять температурой образца, магнитным полем, модулем вращения, контролировать давления гелия, осуществлять автоматическую продувку (в случае наличия опции), вентиляцию и циркуляцию гелия. ПО также имеет возможность задания последовательной инструкции (рецептов) для автоматизации работы.

Внешний вид ПО
Система поддерживает модульную архитектуру и может быть дополнена широким спектром опций для расширения функциональности.
Приставка получения ультра-низких температур: позволяет достигать температур ниже 0.3 К. Используется для исследований в области квантовой материи и сверхпроводимости.
Измерительные модули. Набор стандартных измерительных вставок для проведения основных типов измерений физических свойств материалов, включающий модуль электротранспортных измерений (ETM) для определения удельного сопротивления и эффекта Холла, модуль термотранспортных измерений (TTM) для анализа теплопроводности и термо-ЭДС, а также модуль ферромагнитного резонанса (FMR).
![]() |
![]() |
![]() |
|
FMR |
ETM |
ST-FMR |
| Криогенная система | |
| Тип охлаждения | Криорефрижератор с сухой сверхпроводящей системой |
| Мощность охлаждения | ≥1.2 Вт при 4.2 К |
| Диапазон температур | 1.6 К – 300 К |
| Стабильность температуры | ±10 мК |
| Скорость изменения температуры | 0-5 К/мин |
| Магнитная система | |
| Максимальное поле | ±5 Тл |
| Однородность поля | ≤0.1% в объеме 10 мм |
| Источник питания | Биполярный, 100 А |
| Стабильность тока | ≤50 ppm |
| VSM-модуль | |
| Чувствительность | <5×10⁻⁷ emu |
| Максимальный момент | 40 emu |
| Диапазон температур | 1.6 К – 300 К |
| Частота вибраций | 40 Гц |
| Электрические измерения | |
| Диапазон вращения | 0° – 370° |
| Точность позиционирования | <1° |
| Минимальный шаг | 0.01° |
| Максимальное напряжение | 200 В |
| Ток утечки | <100 пА при 100 В |
| Система управления | |
| Контроллер температуры | 8 каналов мониторинга, 2 канала регулирования |
| Разрешение по температуре | 0.1 мК (24-разрядный АЦП) |
| Мощность нагрева | 100/50 Вт |
| Требования к образцам | |
| VSM измерения | вес образца <5 г, размеры <3 мм |
| Электрические измерения | размер образца >10×10 мм |
Вибрационный магнитометр представляет собой высокочувствительный инструмент для определения […]
Запрос цены Подробнее
Керр микроскоп серии YP-1407 – это система для локального […]
Запрос цены Подробнее
Магнитный картограф Camapper-12R — это система 3D-картографирования магнитного […]
Запрос цены Подробнее